信安杯心跳认证方法_CardioCam
CardioCam: Leveraging Camera on Mobile Devices to Verify Users While Their Heart is Pumping
论文链接:https://dl.acm.org/doi/10.1145/3307334.3326093
PCA(主成分分析): 机器学习中无监督学习的一种降维算法
将高维数据映射到低维空间,通过数据投影的线性转化(正交变换),用较少的数据集维数,保留数据集中对方差贡献最大的特征,也就是保留数据的主要特征。
具体来说:
PCA会计算原始数据的协方差矩阵,然后找到协方差矩阵的特征向量和特征值;
特征向量:新空间的基向量;
特征值:描述了每个特征向量的重要程度;
选择保留最大的k个特征值对应的特征向量;
将原始数据投影到这k个特征向量所张成的低维空间中。
8.1 Feature Transformation grounded on PCA(基于PCA的特征变换)
心脏波形(Cardiac waves)不同时期会出现小规模的变化,因此本文提出一种特征变换方案,用于构建可靠的用户特征,并在PCA基础上进行用户验证;
PCA将心脏特征转换为低维空间中的一组正交主成分,其中前几个最具代表性并对信号干扰稳健;
- 原始成分通过对生物特征矩阵应用奇异值分解(SVD),
生物特征矩阵包含:n次心动周期观察的心脏特征;
将原始成分表示为:W = { w1, w2, … , wp}, wj表示n*1的原始成分向量;
SVD讲解:https://bainingchao.github.io/2018/10/11/%E4%B8%80%E6%AD%A5%E6%AD%A5%E
6%95%99%E4%BD%A0%E8%BD%BB%E6%9D%BE%E5%AD%A6%E5%A5%87%E5%BC%82%E5%
80%BC%E5%88%86%E8%A7%A3SVD%E9%99%8D%E7%BB%B4%E7%AE%97%E6%B3%95/
选择具有最大归一化方差的前k个主成分,称为心脏摘要(cardiac abstracts);
8.2 Profile Matching
通过测量新捕获的心脏摘要与用户档案中的心脏摘要的相似性来判断用户身份是否合法。
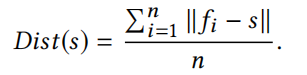
- CardioCam使用一组心脏摘要向量F = {f1,…,f70}, 该向量是从合法用户配置文件中的70个心脏周期派生的
- 每个心脏周期通过将心脏特征向量与8.1中的W相乘得到心脏摘要向量
每个新捕获的需要验证的心脏波将基于PCA进行特征变换,以获得一个新的心脏摘要向量s
计算每个s和F之间的平均欧几里得距离:
使用阈值η,Dist(s)<= η, 则通过认证;


